NYC Government Publication
NYC Districting Commission Data tables for 2022-2023 Final Maps
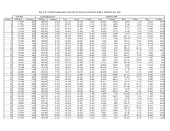
NYC Districting Commission data tables for 2022-2023 Final Map Plan, released October 6, 2022. Tables include population figures, compactness analysis, cross borough analysis, and statistics comparison tables between the 2022-2023 Final Plan and the current lines finalized in 2002 - 2003.
- Agency
- Subject
- Report type
- Data / Statistics
- Date published
- 2022-10-06
- Language
- Calendar year
- 2022
- Mandated Report Name
- Other Publication
Items
| Thumbnail | Title | Date Uploaded | Actions |
|---|---|---|---|
|
|
20221006-Final-Plan-Compactness-Table.pdf | 2023-01-27 | Download |
|
|
20221006-Final-Plan-Crossborough-Table.pdf | 2023-01-27 | Download |
|
|
20221006-Final-Plan-Data-Table.pdf | 2023-01-27 | Download |
|
|
20221006-Final-Plan-vs-2013-Lines-Data-Table.pdf | 2023-01-27 | Download |
