NYC Government Publication
Issuance of Desk Appearance Tickets (Q3-2025)
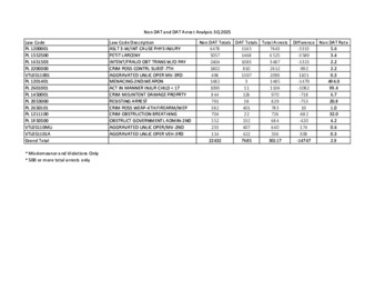
Pursuant to Admin Code Sect. 14-156, this quarterly report contains the non-desk appearance ticket rate for offenses for which 500 or more arrests were made. This report also contains the number of DATs issued in total and disaggregated by precinct, borough, race, gender, and age.
- Sub title
- Issuance of Desk Appearance Tickets (Quarterly)
- Agency
- Subject
- Report type
- Reports - Quarterly
- Date published
- 2025-11-14
- Language
- Calendar year
- 2025
- Mandated Report Name
- Issuance of Desk Appearance Tickets
